SIMULATION RESULTS




The following graphs have been drawn thanks to this results file. These results are obtained after the program execution of one architecture.

DESCRIPTION OF THE GRAPHS

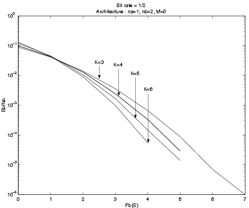
In the following figures, the horizontal axis represents the SNR(Signal Noise Ratio) and the vertical axis represents the BER(Binary Error Rate). There are three graphs because I simulate three different bit rate: 1/2, 1/3, 1/4. On each bit rate representation, we can see different graphs. Each one has a different constraint lenght, called K.

  1. BIT RATE = 1/2



  2. BIT RATE = 1/3



  3. BIT RATE = 1/4




  4. Go back to main menu.